随机性的五种不同类型

我们经常说,这个世界是随机的、是不确定性的。比如中彩票、天气预报、股票市场,都充满了不确定性。但如果仔细去看,你会发现:这些不确定性背后的底层逻辑,是完全不同的。

理解随机性和不确定性的不同来源,其实是在理解一个更根本的问题:这个世界,到底在多大程度上是可以被预测的?它会直接影响我们如何做决策,以及如何理解这个世界。

我整理了五种随机的方式。

第一种:认知随机

认知随机是生活中最常见的一种,比如掷色子,它的结果貌似是随机的。

图片

但实际上,从物理学的角度,色子的运动完全遵循经典力学,如果你知道它抛出时的初始速度、抛出的角度、每一次碰撞的细节、空气阻力、摩擦力等等,那么你是可以精确算出它最后停在哪一面的。

赌场轮盘、抛硬币、洗牌,其实都是一样的,它们的过程本身是确定的,只是因为我们不知道所有初始条件,才让它们看起来像随机。

图片

这种随机不是来自于宇宙本身,而是来自信息不足。如果有一天你发明了一种超强AI,可以测量所有初始条件,那么这些所谓的随机,其实是可以预测的。

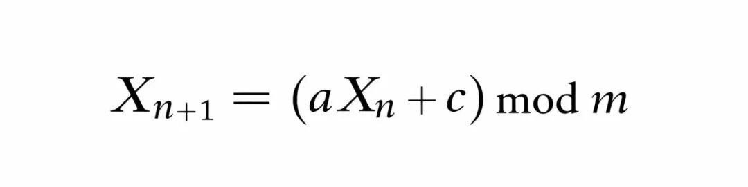
第二种:确定性规则的伪随机。

计算机在抽奖时生成的随机数,很多程序会用一个简单的公式,比如下面这个线性同余生成算法:

图片

这个公式就可以不断生成看似毫无关联的数字:17 → 82 → 39 → 14 → 76 → 5 …

图片

它可以很久都不循环一次,如果你只看这些数字,你很难看出规律,但实际上它毫无随机性可言。只要你知道算法的规则和初始输入的数据,那么整串数字是可以完全预测的。这种随机,其实只是伪装成随机的确定性。

图片

第三种:混沌/复杂系统的随机

混沌系统有一个非常关键的特征:规律是确定的,但对初始条件极端敏感,微小误差在混沌系统里会被指数级放大。这就是著名的蝴蝶效应。

图片

最经典的例子就是天气。天气其实遵循非常确定的物理规律,比如:流体动力学、热力学、能量守恒,这些都是严格的物理方程。

图片

但天气依然很难长期精准预测,看似充满不确定性,因为它对初始条件非常敏感。

假设你今天测量温度时,误差只有0.0001℃。如果系统是线性的,这个误差只会慢慢增加,比如:从0.0001 → 0.0002 → 0.0003,影响其实很小。

图片

但在混沌系统里,变量与变量之间不是相对独立的,而是会发生非线性的相互作用,一个小的误差经过多次放大以后,最终就会演化成完全不同的结果。

图片

因此,只要我们的测量精度是有限的,就不可能精准地预测未来。这也是为什么天气预报通常很难超过 2 周,越往后越不准。

像天气、湍流、三体问题,都属于规律非常确定,但对初始条件敏感的混沌系统。

图片

但现实世界里还有另一类系统,像股票市场、社交网络、生态系统,被称为复杂系统,它们不仅变量很多,存在大量非线性的反馈,还会出现涌现的行为,因此表现出强烈的不确定性。

图片

即便如此,在局部的层面,微观行为仍然遵循明确的因果关系,比如:投资者根据信息买卖股票,用户根据兴趣转发内容。

这些行为在一定程度上是可以建模的,可以用统计学或概率模型来分析它们的规律。但当大量个体相互作用时,各种反馈不断交织在一起,系统会变得非常复杂,整体行为变得难以预测。

图片

第四种:计算不可约。

以前的科学有一种很强的信念:只要知道规律,就能预测未来。

就像牛顿把复杂的天体运动,压缩成了一条简洁的万有引力公式,只要知道行星的初始位置和速度,就可以计算出它未来的轨道。

图片

但有些系统不是这样。即便你知道所有规则,也知道所有初始条件,你依然无法用数学捷径直接预测未来。唯一的办法,就是让系统一步一步运行,运行到哪一步才能知道哪一步的答案。一个经典例子是元胞自动机。

图片

我在以前的视频里有详细讲过,你可以把元胞自动机想象成一个有很多小格子的棋盘,每个格子只有黑色和白色两种状态,每过一秒,每个格子都会根据自己和周围八个邻居的状态,决定下一刻要不要翻转。

图片

比如按照图中的规则来操作。这是著名的康威生命游戏的规则。

图片

神奇的是,当你让这个系统不断运行下去,它会慢慢长出非常复杂的图案。有时候会长出滑翔机、有时候长出脉冲星、有时候看起来像信号灯。只要初始状态变化一下,整个图案就会完全不同。

图片
图片
图片

最奇怪的是:你几乎找不到任何数学捷径,可以直接算出它第1000步会变成什么样子。想知道答案的唯一办法,就是让系统真的一步一步运行到第1000步。这就是计算不可约。

有些科学家,比如沃尔夫拉姆,认为宇宙本身就可能是一种巨大的元胞自动机。

图片

像人的大脑。大脑大约有860亿个神经元,每个神经元又和成千上万个连接发生作用。

图片

即便你知道每一个神经元怎么工作,也知道它们之间是怎么连接的,你依然很难直接算出:下一秒钟它会产生什么想法,又是如何涌现出意识和智能的。

你能做的,只能是让系统一步一步运行,通过模拟和观察去接近它的未来行为。

生物进化、社会系统的运行、文明的演进,都体现了这样的特征。你没办法跳过历史,直接看到最后一页。

所以这一类“不确定性”,并不是因为系统没有规律,而是它的规律不能被压缩成一个更快的预测公式,因此,你只能像开盲盒一样,一步一步地打开未来。它无法提前精准地预测,但在底层仍然遵循确定性的因果关系。

图片

第五种:量子力学,真正意义上的随机

在量子力学中,一个系统的运动状态是用波函数来描述的,波函数会随着时间不断变化,而这种变化遵循一条非常严格的规律——薛定谔方程。

也就是说,如果你知道系统此刻的波函数,就可以根据薛定谔方程,精确算出下一时刻的波函数。

图片

但奇怪的是,当我们真正去测量一个量子系统时,得到的却不是一个确定结果,而是概率性的结果。

比如电子的自旋。在测量之前,它既不是向上,也不是向下,而是两种状态的叠加。

量子力学只能告诉我们:如果在这一刻进行测量,自旋向上的概率是多少,向下的概率是多少。但每一次具体的测量结果,是无法提前确定的。

图片

于是就出现了一个非常反直觉的结果:波函数的演化是确定性的,但测量得到的结果却是随机的。这就是量子力学里著名的测量问题。

为什么会这样呢?

关于这个问题的解释,物理学家之间,并没有达成完全的共识。

很多物理学家认为,世界的底层就像我们测量到的那样,是随机性的。

图片

但还有一部分认为,量子系统在测量时并没有发生坍缩,而是原本叠加的所有可能性,都发生了,只是分别出现在不同的宇宙分支中,我们每个人,只会经历其中一条分支,这就是多世界理论。

图片

在这种观点下,宇宙在底层依然是确定性的。

所以,世界究竟是随机的,还是确定性的,到今天仍然有争议。但无论怎样,在我们”可见”的宇宙里,单次测量的量子结果仍然是真正意义上的随机。

你看,从经典力学、伪随机、混沌系统、计算不可约,再到量子力学,我们会发现:很多看起来随机的现象,背后都有确定性的底座;而一些确定性的系统,在某些条件下,又会涌现出难以预测的行为。

秩序和随机,不是对立的。它们交织着存在,共同构成了这个世界的运行方式。

修饼 修饼2026年3月23日 21:32四川
https://mp.weixin.qq.com/s/hXu4LoQ-LjMvQp-YFqPqfA

暂无评论

发送评论 编辑评论


				
|´・ω・)ノ
ヾ(≧∇≦*)ゝ
(☆ω☆)
(╯‵□′)╯︵┴─┴
 ̄﹃ ̄
(/ω\)
∠( ᐛ 」∠)_
(๑•̀ㅁ•́ฅ)
→_→
୧(๑•̀⌄•́๑)૭
٩(ˊᗜˋ*)و
(ノ°ο°)ノ
(´இ皿இ`)
⌇●﹏●⌇
(ฅ´ω`ฅ)
(╯°A°)╯︵○○○
φ( ̄∇ ̄o)
ヾ(´・ ・`。)ノ"
( ง ᵒ̌皿ᵒ̌)ง⁼³₌₃
(ó﹏ò。)
Σ(っ °Д °;)っ
( ,,´・ω・)ノ"(´っω・`。)
╮(╯▽╰)╭
o(*////▽////*)q
>﹏<
( ๑´•ω•) "(ㆆᴗㆆ)
😂
😀
😅
😊
🙂
🙃
😌
😍
😘
😜
😝
😏
😒
🙄
😳
😡
😔
😫
😱
😭
💩
👻
🙌
🖕
👍
👫
👬
👭
🌚
🌝
🙈
💊
😶
🙏
🍦
🍉
😣
Source: github.com/k4yt3x/flowerhd
颜文字
Emoji
小恐龙
花!
上一篇
下一篇